北理工團隊提出突破性全電控自旋新機制
發布日期:2024-08-08 供稿:物理學院 攝影:物理學院
編輯:王莉蓉 審核:陳珂 閱讀次數:
近日,北京理工大學物理學院姚裕貴教授、余智明教授團隊提出了一種顛覆性的新效應:自旋-層耦合(SLC),以實現自旋(而非自旋流)的柵極電場控制。該工作以“Predictable Gate-Field Control of Spin in Altermagnets with Spin-Layer Coupling”為題發表于物理學頂級期刊《Physical Review Letters》。
自巨磁阻效應發現以來,自旋電子學領域迅猛發展,對自旋的調控成為該領域重要研究方向。這其中最好的方法是通過柵極電場調控自旋。盡管眾多方案競相涌現,以期實現電場調控自旋的最終目標,但普遍存在兩大棘手難題:(一) 高度依賴強自旋軌道耦合(SOC)作為先決條件,限制了材料選擇的廣泛性;(二) 誘導產生的自旋劈裂現象難以精準預測與控制,給實際應用帶來不確定性的挑戰。這些不足之處嚴重阻礙了全電控自旋技術向更深層次發展的步伐。
在本研究工作中,團隊提出了一種顛覆性的效應,通過電學手段實現自旋極化的可預測控制,從而解決這一挑戰性任務。他們的想法基于一種新穎的物理機制——以谷為媒介的自旋-層耦合 (SLC)——這一機制存在于一種新發現的磁性材料,即交錯磁體 (altermagnets)(圖1)。SLC指的是自旋與層自由度之間的耦合,通過它可使電場能夠像磁場一樣精準可控的操控自旋。值得注意的是,SLC在有無SOC的情況下都能有效運行,從而一舉克服上述兩大缺陷。

圖1. 谷媒介SLC的機理及全電控自旋示意圖。(a)具有兩個能谷V1和V2的交錯磁體材料天然被賦予自旋-谷鎖定特性,其受到某一(磁性)晶體對稱性(或晶體對稱性與時間反演聯合操作)而不是時間反演對稱性的保護。(b)二維谷電子材料可能具有某一(磁性)晶體對稱性(或晶體對稱性與時間反演聯合操作)保護的谷-層鎖定,其中兩個谷態具有相反的層極化。(c)二維交錯磁體中谷媒介SLC可以形象的類比為自旋-谷和谷-層鎖定的結合。(d)谷媒介SLC使全電控自旋成為可能。
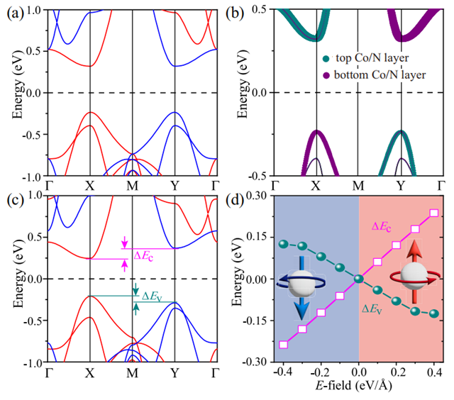
團隊還通過系統性的對稱性分析,提出了實現谷媒介SLC的對稱性條件,并列出了所有具有谷媒介SLC的23個磁層群。此外團隊還確定了9種高質量的材料候選者:單層Ca(CoN)2家族(圖2)。基于這些具體材料,該工作展示了通過施加柵極場可以實現(近乎)均勻、連續和可切換的自旋極化控制。特別是,施加0.2 eV/?的柵極場可以產生約100 meV的自旋劈裂,相當于一個高達1000 T的有效靜態磁場(圖3)。

圖2. 九種高質量的候選材料:單層Ca(CoN)2家族。(a) 從體相中剝離候選單層的示意圖;(b) 單層A(BN)2的晶體結構俯視圖;(c) 單層Ca(CoN)2的空間自旋密度分布;(d) 單層Ca(CoN)2的聲子譜。

圖3. 單層Ca(CoN)2的電子結構分析:(a) 能帶結構;(b) 軌道投影能帶結構;(c) Ez=""0.2"" eV/?電場下單層Ca(CoN)2的能帶結構;(d) VBM (ΔEv)和CBM (ΔEc)隨Ez的自旋(谷)劈裂。
此外,團隊提出的谷媒介SLC方案還可以徹底改變類隧道磁阻 (TMR) 器件的設計方式。所提出的類TMR器件不僅表現出顯著增強的TMR效應,而且由單一材料構成—TMR器件中的平行和反平行配置可以通過對材料不同區域施加平行和反平行的柵極電場來實現(圖4)。

圖4. 基于谷媒介SLC效應的新型隧道磁阻器件示意圖。
探索全電控自旋新機制是凝聚態和材料物理領域重要的研究課題,具有重要的科學意義和應用價值。該研究為通過純電手段的可預測的自旋調控提供了嶄新機遇,并為設計可以全電控制的自旋電子器件開辟了全新的方向,將成為自旋電子學和能谷電子學領域的里程碑式進展。
北京理工大學為該工作的唯一完成單位。北京理工大學物理學院的姚裕貴教授、余智明教授為論文的共同通訊作者,張閏午特別研究員和崔朝喜博士研究生為論文的第一作者。參與該研究工作的還有博士研究生李潤澤、段璟奕,博士后黎磊。該工作得到科技部重點研發計劃、國家自然科學基金和北京理工大學青年人才啟動項目等的大力支持。
文章信息如下:
Run-Wu Zhang, Chaoxi Cui, Runze Li, Jingyi Duan, Lei Li, Zhi-Ming Yu, and Yugui Yao; “Predictable Gate-Field Control of Spin in Altermagnets with Spin-Layer Coupling”, Physical Review Letters, 133, 056401 (2024).
文章鏈接:https://doi.org/10.1103/PhysRevLett.133.056401
分享到:
